合作客户/
拜耳公司 |
同济大学 |
联合大学 |
美国保洁 |
美国强生 |
瑞士罗氏 |
相关新闻Info
-
> 高速运动的微小水滴撞击深水液池产生的空腔运动及形成机理(二)
> 表面张力对乙醇液滴冲击过冷水平壁面的铺展动力学行为的影响(三)
> 不同温度下可溶解聚乙二醇低共熔溶剂的密度、电导率、表面张力等性质(一)
> 探讨一级相变过程中气泡和液滴临界半径的变化规律、与演化方向(一)
> 甜菜碱表面活性剂TAC制备方法及表面张力测定(二)
> 高速运动的微小水滴撞击深水液池产生的空腔运动及形成机理(一)
> 玻璃窗上水滴的运动控制影响因素及模型构建
> DHSO、AGE、TMHC构建阳离子有机硅表面活性剂DAT防水锁性能(二)
> 液体表面张力方向究竟是沿着页面切线方向,还是垂直于页面指向液体内部?
> 防治剑麻介壳虫病,推荐剂量下药剂的表面张力值多少最佳
推荐新闻Info
-
> 酯化度与分子质量对果胶乳化性能、聚集体结构、界面性质的影响规律(三)
> 酯化度与分子质量对果胶乳化性能、聚集体结构、界面性质的影响规律(二)
> 酯化度与分子质量对果胶乳化性能、聚集体结构、界面性质的影响规律(一)
> 反离子盐KBr浓度对酰胺基阳离子Gemini表面活性剂的表/界面活性的影响(三)
> 基于孔溶液表面张力和黏度测试揭示增稠剂对流变参数和气泡结构的影响机制(二)
> 基于孔溶液表面张力和黏度测试揭示增稠剂对流变参数和气泡结构的影响机制(一)
> 反离子盐KBr浓度对酰胺基阳离子Gemini表面活性剂的表/界面活性的影响(二)
> 反离子盐KBr浓度对酰胺基阳离子Gemini表面活性剂的表/界面活性的影响(一)
> 典型离子型与非离子型起泡剂的界面行为对泡沫性能的影响机制
> 新无氰白铜锡电镀液及电镀方法可降低表面张力,促进镀液对复杂工件的润湿
基于孔溶液表面张力和黏度测试揭示增稠剂对流变参数和气泡结构的影响机制(二)
来源:材料导报 浏览 22 次 发布时间:2025-10-09
2结果与讨论
2.1增稠剂溶液的黏度和表面张力变化
相同掺量下,DYJ的黏度最高,其次是HYJ,VAM和AD黏度在低掺量下接近,掺量达到0.10%之后,VAM黏度高于AD;VAM和AD的黏度随着掺量的提高缓慢增大,而HYJ和DYJ溶液的黏度随掺量的提高迅速提高,尤其是DYJ的增长幅度更为显著。总体来看,增稠剂分子量越大,相同掺量时溶液的黏度越高。从表面张力的结果来看,相同掺量下,HYJ溶液的表面张力最高,其次是DYJ,VAM和AD的表面张力显著低于其他两种增稠剂,且AD略微高于VAM.
根据数据,对不同增稠剂溶液黏度随掺量的变化进行拟合,获得黏度与掺量的关系。最终确定了四种增稠剂溶液达到预期黏度(约1.5mPa·s和6mPa·s)的掺量,如表4所示。
表4达到预期黏度时的增稠剂掺量
2.2增稠剂对砂浆流变性能的影响
增稠剂溶液的黏度越高,砂浆的流动度越低。在较低黏度下,四种增稠剂对砂浆初始流动度的影响接近,60min时,AD的经时流动度最低,VAM流动度相对于基准砂浆略微下降;然而当溶液黏度提高至6mPa·s时,掺入HYJ和DYJ的砂浆流动度显著低于AD和VAM,60min后的损失也更大,AD的经时流动度略低于基准砂浆。
采用改进的Bingham模型对砂浆的流变曲线进行拟合,获取屈服应力和塑性黏度。当溶液黏度为1.5mPa·s时,砂浆的初始屈服应力和塑性黏度相对于基准砂浆略微增大,60min后的流变参数出现不同发展趋势;当溶液黏度为6mPa·s时,砂浆的屈服应力均高于基准砂浆;VAM和AD砂浆的初始屈服应力高于基准砂浆147%和172%,塑性黏度高出基准砂浆的191%和220%;HYJ和DYJ砂浆的初始屈服应力高于基准砂浆619%和254%,初始塑性黏度高出基准砂浆的64%和82%.
2.3增稠剂对砂浆气泡结构的影响
当溶液黏度为1.5mPa·s时,VAM和AD的掺入使砂浆初始含气量相对于基准砂浆增大66%和71%,而HYJ和DYJ仅使初始含气量提高26%和31%;当溶液黏度为6mPa·s时,VAM和AD的掺入使砂浆初始含气量相对于基准砂浆增大46%和51%,而DYJ仅使初始含气量提高6%,HYJ则降低含气量26%.
气泡结构测试表明,砂浆黏度越高,气泡结构集中于较大尺寸范围内。随着时间推移,高黏度体系下,500——1000μm的气泡含量显著下降,而1000——2000μm的气泡含量则显著提高;低黏度体系下,300——500μm的气泡含量有所增大。
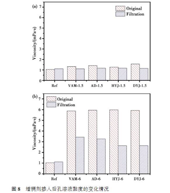
2.4增稠剂对孔溶液性质的影响
HYJ和DYJ溶液的表面张力与纯水相近,VAM和AD溶液的表面张力则显著低于纯水。当增稠剂加入砂浆中后,抽滤得到的孔溶液性质发生改变:对于VAM和AD,孔溶液的表面张力相对原溶液略微增大1.50%——4.44%,黏度下降了16.21%——45.12%;对于HYJ和DYJ,孔溶液的表面张力相对原溶液下降幅度达到16.97%——23.57%,黏度仅下降6.82%——55.94%.复杂离子环境使孔溶液黏度有所下降,增稠剂掺量越高,黏度下降程度越大。
2.5砂浆流变性能与气泡结构的相关性分析
孔溶液黏度与砂浆塑性黏度呈正相关性(线性拟合R²=0.9401);含气量同时受孔溶液黏度和表面张力影响。当砂浆塑性黏度接近时,表面张力较高的增稠剂使含气量更高;同一增稠剂掺量越大,塑性黏度越高,含气量降低,但表面张力较低的增稠剂使含气量变化幅度较小。气泡聚并程度与砂浆塑性黏度整体呈线性负相关,表明增稠剂有助于阻碍气泡聚并。
3结论
(1)增稠剂的加入显著降低砂浆的流动度,提高砂浆的屈服应力和塑性黏度。
(2)原始溶液黏度相同的情况下,合成纤维素醚类增稠剂的表面张力较小,溶液受水泥矿相溶解产生的复杂离子环境影响较小,导致更小的砂浆孔溶液表面张力和黏度变化。
(3)各种增稠剂溶液的黏度与砂浆塑性黏度均呈正相关性;砂浆的含气量同时受到孔溶液黏度和表面张力的影响,当砂浆塑性黏度接近时,具有较高表面张力的增稠剂使砂浆表现出更高的含气量;采用同一增稠剂调节砂浆流变参数时,增稠剂掺量越大,砂浆塑性黏度越高,含气量有所下降,但孔溶液表面张力较低的增稠剂使含气量变化幅度较低。
(4)气泡的聚并程度与砂浆塑性黏度整体呈线性负相关,采用增稠剂改变孔溶液的黏度有利于阻碍气泡的聚并。





